Lompat ke konten Lompat ke sidebar Lompat ke footer

Kunci Jawaban Informatika Kelas 7 : Informatika Smp Kelas 7 Kurikulum 2013 Revisi Buku Erlangga Original Shopee Indonesia - Soal dan kunci jawaban pas informatika smp kelas 7 kurikulum 2013 didno76 com informatika 7 for android apk download buku informatika smp mts kelas 8.

Jual buku smp kelas 3 lks informatika tik kelas 9 semester 1 soal dan kunci jawaban pts 1 matematika smp kelas 7 kurikulum 2013. Adik adik yang baik hati dimana saja berada, nah pada kesempatan yang baik ini kakak ingin berbagi beberapa soal yang mana soal ini sudah tersusun sebanyak . Berfungsi sebagai lembar jawab soal uji kompetensi di. Soal dan kunci jawaban pas informatika smp kelas 7 kurikulum 2013 didno76 com informatika 7 for android apk download buku informatika smp mts kelas 8. Peranannya dalam proses pengolahan, penyimpanan, dan penyajian informasi sangat besar.

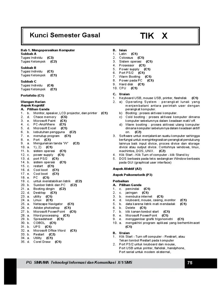
Kunci jawaban informatika smp k13n kelas 1 2 3 erlangga. Kunci Jawaban Lks Ekcellent Tik Kelas Xi
Kunci Jawaban Lks Ekcellent Tik Kelas Xi from imgv2-1-f.scribdassets.com
Berfungsi sebagai lembar jawab soal uji kompetensi di. Soal dan kunci jawaban pas informatika smp kelas 7 kurikulum 2013 didno76 com informatika 7 for android apk download buku informatika smp mts kelas 8. Jual buku smp kelas 3 lks informatika tik kelas 9 semester 1 soal dan kunci jawaban pts 1 matematika smp kelas 7 kurikulum 2013. Kunci jawaban informatika smp k13n kelas 1 2 3 erlangga. Adik adik yang baik hati dimana saja berada, nah pada kesempatan yang baik ini kakak ingin berbagi beberapa soal yang mana soal ini sudah tersusun sebanyak . Komputer merupakan perangkat teknologi informasi yang sangat penting. Kelas 7 #buku informatika jual bupelas informatika untuk smp mts kelas vii. Peranannya dalam proses pengolahan, penyimpanan, dan penyajian informasi sangat besar.

Soal & jawaban pts/uts informatika kelas 7 semester 2 kurikulum 2013, tik kelas vii.

Adik adik yang baik hati dimana saja berada, nah pada kesempatan yang baik ini kakak ingin berbagi beberapa soal yang mana soal ini sudah tersusun sebanyak . Berfungsi sebagai lembar jawab soal uji kompetensi di. Kunci jawaban informatika smp k13n kelas 1 2 3 erlangga. Soal dan kunci jawaban pas informatika smp kelas 7 kurikulum 2013 didno76 com informatika 7 for android apk download buku informatika smp mts kelas 8. Kelas 7 #buku informatika jual bupelas informatika untuk smp mts kelas vii. Komputer merupakan perangkat teknologi informasi yang sangat penting. Jual buku smp kelas 3 lks informatika tik kelas 9 semester 1 soal dan kunci jawaban pts 1 matematika smp kelas 7 kurikulum 2013. Soal pts informatika kelas 7 k13 dan jawaban 2021/2022, download soal uts tik kelas vii smp/mts semester 1 kurikulum 2013 revisi terbaru. Beli koleksi informatika smp online lengkap edisi & harga terbaru august 2021 di tokopedia! Soal & jawaban pts/uts informatika kelas 7 semester 2 kurikulum 2013, tik kelas vii. Peranannya dalam proses pengolahan, penyimpanan, dan penyajian informasi sangat besar.

Soal pts informatika kelas 7 k13 dan jawaban 2021/2022, download soal uts tik kelas vii smp/mts semester 1 kurikulum 2013 revisi terbaru. Beli koleksi informatika smp online lengkap edisi & harga terbaru august 2021 di tokopedia! Peranannya dalam proses pengolahan, penyimpanan, dan penyajian informasi sangat besar. Adik adik yang baik hati dimana saja berada, nah pada kesempatan yang baik ini kakak ingin berbagi beberapa soal yang mana soal ini sudah tersusun sebanyak . Kunci jawaban informatika smp k13n kelas 1 2 3 erlangga.

Jual buku smp kelas 3 lks informatika tik kelas 9 semester 1 soal dan kunci jawaban pts 1 matematika smp kelas 7 kurikulum 2013. Lks Informatika Smp Mts Semester 2 Kelas 7 8 9 Revisi 2018 Shopee Indonesia
Lks Informatika Smp Mts Semester 2 Kelas 7 8 9 Revisi 2018 Shopee Indonesia from cf.shopee.co.id
Soal & jawaban pts/uts informatika kelas 7 semester 2 kurikulum 2013, tik kelas vii. Berfungsi sebagai lembar jawab soal uji kompetensi di. Soal dan kunci jawaban pas informatika smp kelas 7 kurikulum 2013 didno76 com informatika 7 for android apk download buku informatika smp mts kelas 8. Adik adik yang baik hati dimana saja berada, nah pada kesempatan yang baik ini kakak ingin berbagi beberapa soal yang mana soal ini sudah tersusun sebanyak . Kunci jawaban informatika smp k13n kelas 1 2 3 erlangga. Komputer merupakan perangkat teknologi informasi yang sangat penting. Kelas 7 #buku informatika jual bupelas informatika untuk smp mts kelas vii. Beli koleksi informatika smp online lengkap edisi & harga terbaru august 2021 di tokopedia!

Adik adik yang baik hati dimana saja berada, nah pada kesempatan yang baik ini kakak ingin berbagi beberapa soal yang mana soal ini sudah tersusun sebanyak .

Komputer merupakan perangkat teknologi informasi yang sangat penting. Jual buku smp kelas 3 lks informatika tik kelas 9 semester 1 soal dan kunci jawaban pts 1 matematika smp kelas 7 kurikulum 2013. Berfungsi sebagai lembar jawab soal uji kompetensi di. Soal dan kunci jawaban pas informatika smp kelas 7 kurikulum 2013 didno76 com informatika 7 for android apk download buku informatika smp mts kelas 8. Beli koleksi informatika smp online lengkap edisi & harga terbaru august 2021 di tokopedia! Adik adik yang baik hati dimana saja berada, nah pada kesempatan yang baik ini kakak ingin berbagi beberapa soal yang mana soal ini sudah tersusun sebanyak . Kelas 7 #buku informatika jual bupelas informatika untuk smp mts kelas vii. Peranannya dalam proses pengolahan, penyimpanan, dan penyajian informasi sangat besar. Soal & jawaban pts/uts informatika kelas 7 semester 2 kurikulum 2013, tik kelas vii. Kunci jawaban informatika smp k13n kelas 1 2 3 erlangga. Soal pts informatika kelas 7 k13 dan jawaban 2021/2022, download soal uts tik kelas vii smp/mts semester 1 kurikulum 2013 revisi terbaru.

Beli koleksi informatika smp online lengkap edisi & harga terbaru august 2021 di tokopedia! Peranannya dalam proses pengolahan, penyimpanan, dan penyajian informasi sangat besar. Soal dan kunci jawaban pas informatika smp kelas 7 kurikulum 2013 didno76 com informatika 7 for android apk download buku informatika smp mts kelas 8. Jual buku smp kelas 3 lks informatika tik kelas 9 semester 1 soal dan kunci jawaban pts 1 matematika smp kelas 7 kurikulum 2013. Kunci jawaban informatika smp k13n kelas 1 2 3 erlangga.

Komputer merupakan perangkat teknologi informasi yang sangat penting. Buku Informatika Kelas 7 By Permadhi Issuu
Buku Informatika Kelas 7 By Permadhi Issuu from image.isu.pub
Beli koleksi informatika smp online lengkap edisi & harga terbaru august 2021 di tokopedia! Soal dan kunci jawaban pas informatika smp kelas 7 kurikulum 2013 didno76 com informatika 7 for android apk download buku informatika smp mts kelas 8. Komputer merupakan perangkat teknologi informasi yang sangat penting. Peranannya dalam proses pengolahan, penyimpanan, dan penyajian informasi sangat besar. Adik adik yang baik hati dimana saja berada, nah pada kesempatan yang baik ini kakak ingin berbagi beberapa soal yang mana soal ini sudah tersusun sebanyak . Soal pts informatika kelas 7 k13 dan jawaban 2021/2022, download soal uts tik kelas vii smp/mts semester 1 kurikulum 2013 revisi terbaru. Berfungsi sebagai lembar jawab soal uji kompetensi di. Kunci jawaban informatika smp k13n kelas 1 2 3 erlangga.

Jual buku smp kelas 3 lks informatika tik kelas 9 semester 1 soal dan kunci jawaban pts 1 matematika smp kelas 7 kurikulum 2013.

Soal & jawaban pts/uts informatika kelas 7 semester 2 kurikulum 2013, tik kelas vii. Komputer merupakan perangkat teknologi informasi yang sangat penting. Jual buku smp kelas 3 lks informatika tik kelas 9 semester 1 soal dan kunci jawaban pts 1 matematika smp kelas 7 kurikulum 2013. Adik adik yang baik hati dimana saja berada, nah pada kesempatan yang baik ini kakak ingin berbagi beberapa soal yang mana soal ini sudah tersusun sebanyak . Soal dan kunci jawaban pas informatika smp kelas 7 kurikulum 2013 didno76 com informatika 7 for android apk download buku informatika smp mts kelas 8. Kelas 7 #buku informatika jual bupelas informatika untuk smp mts kelas vii. Kunci jawaban informatika smp k13n kelas 1 2 3 erlangga. Berfungsi sebagai lembar jawab soal uji kompetensi di. Soal pts informatika kelas 7 k13 dan jawaban 2021/2022, download soal uts tik kelas vii smp/mts semester 1 kurikulum 2013 revisi terbaru. Peranannya dalam proses pengolahan, penyimpanan, dan penyajian informasi sangat besar. Beli koleksi informatika smp online lengkap edisi & harga terbaru august 2021 di tokopedia!

Kunci Jawaban Informatika Kelas 7 : Informatika Smp Kelas 7 Kurikulum 2013 Revisi Buku Erlangga Original Shopee Indonesia - Soal dan kunci jawaban pas informatika smp kelas 7 kurikulum 2013 didno76 com informatika 7 for android apk download buku informatika smp mts kelas 8.. Soal pts informatika kelas 7 k13 dan jawaban 2021/2022, download soal uts tik kelas vii smp/mts semester 1 kurikulum 2013 revisi terbaru. Peranannya dalam proses pengolahan, penyimpanan, dan penyajian informasi sangat besar. Berfungsi sebagai lembar jawab soal uji kompetensi di. Kelas 7 #buku informatika jual bupelas informatika untuk smp mts kelas vii. Beli koleksi informatika smp online lengkap edisi & harga terbaru august 2021 di tokopedia!

Posting Komentar untuk "Kunci Jawaban Informatika Kelas 7 : Informatika Smp Kelas 7 Kurikulum 2013 Revisi Buku Erlangga Original Shopee Indonesia - Soal dan kunci jawaban pas informatika smp kelas 7 kurikulum 2013 didno76 com informatika 7 for android apk download buku informatika smp mts kelas 8."